原廠通知
美國micromeritics / 2026年一月份電子報-比表面積分析需要放入多少樣品?

目的
一個常見的問題是「比表面積分析需要放入多少樣品?」簡單的答案是,這取決於多種因素:首先,取決於分析所使用的儀器類型及其可接受的測量誤差;其次,取決於測量所使用的樣品管類型,這會影響可接受的測量誤差;再其次,取決於樣品的比表面積,因為比表面測量是指每克樣品的表面積;最後,取決於可接受的總體積。
通常,Micromeritics 物理吸附分析儀可分為五類:ASAP 單一分析埠分析儀(現有型號包括 ASAP 2020 Plus 和 ASAP 2060);ASAP 多埠分析儀和高壓分析儀(現有型號包括 ASAP 2420、ASAP 2460 和 ASAP 2050);和 TriStar II Plus 3030);以及 Gemini 系列(現有型號包括 Gemini VII 2390a、Gemini VI 2390p 和 Gemini VII 2390t)。每類儀器均針對空白管分析設定了性能指標,該指標是在特定的樣品管和分析條件下進行的。這些性能指標提供了在分析不含樣品的樣品管時,吸附氣體的最大體積與相對壓力的關係。有些儀器需要填充棒和等溫夾套,有些則不需要。有些儀器提供77K下氮氣分析和87K下氬氣分析的規格,有些則提供77K下氪氣分析的規格。有些儀器直接測量(Free space)自由空間,有些則根據樣品質量和密度以及空樣品管的測量自由空間計算自由空間。
測試說明
以下是這些規格的描述。再次強調,這些是吸附量與零值之間可接受的最大偏差。請注意,大多數儀器的實際運作水準遠高於這些規格。為了確定特定儀器的性能,請對該儀器進行空白管分析。通常,空白管分析的分析條件會在儀器應用軟體安裝到控制儀器的電腦上時自動加載。
對於單一分析埠的分析儀 ASAP 2020 Plus 和 ASAP 2060,等溫線上每個相對壓力 P/Po 對應的空白管分析結果如下:
對於空的 1/2 '' OD樣品管,在 77K 氮氣或 87K 氬氣氣氛下進行分析,並安裝填充棒、等溫夾套、杜瓦瓶蓋和杜瓦瓶屏蔽罩,且在分析過程中測量自由空間,則等溫線上每個分析點的氣體吸附量(單位:cm³ (STP))與零的偏差不應超過公式 (1) 給出的 Vε。
.jpg)
對於空的 3/8 '' OD樣品管,在 77 K 下用氮氣或 87 K 下用氬氣進行分析,並安裝填充棒、等溫套、杜瓦瓶蓋和杜瓦瓶屏蔽罩,且在分析過程中測量自由空間,則等溫線上每個分析點的氣體吸附量(單位:cm³ (STP))與零的公式與零的偏差 Vε (2)。
.jpg)
對於空的 1/2 '' OD樣品管,在 77 K 下用氪氣進行分析,不安裝填充棒和等溫套,但安裝杜瓦瓶蓋和杜瓦瓶屏蔽罩,且在分析過程中測量自由空間,則等溫線上每個分析點的氣體吸附量(單位:cm³ (STP))與零的偏差不應超過公式 (3) 給出的 Vε。
.jpg)
被測樣品的單點表面積 SA1 可利用等溫線上的一個點,在典型的 BET 表面積範圍 0.05 至 0.30 相對壓力 P/Po 內,透過 (4) 式輕鬆計算得出。
.jpg)
當:
Va 為在指定相對壓力 P/Po 下的吸附體積,單位為 cm³ (STP);
Vo 為氣體摩爾體積,數值為 22414 cm³ (STP)/mol;
NA 為亞佛加厥常數,數值為 6.022 × 10²³ 個分子/mol;
σa 為吸附質橫截面積,即每個氣體分子所覆蓋的樣品面積,單位為 m²。
以氮氣為吸附質、溫度為 77 K 的分析,σa 的公認值為 1.62 × 10⁻¹⁹ m²。在相對壓力 P/Po 為 0.30 時,氮氣單點表面積 SA1 的計算公式為 (5)
.jpg)
由於公式 (1) 和 (2) 給出了 77K 下氮氣分析中吸附氣體體積的最大不確定度,因此將相對壓力為 0.30 時的吸附體積不確定度代入公式 5,即可得到該相對壓力下單點表面積的不確定度。例如,如果要在外徑為1/2”的樣品管中分析樣品,則對於正常運作的 ASAP 2020 Plus,相應的吸附體積最大潛在不確定度為 (6)。
.jpg)
由於空白誤差,單點表面積 SA1ε 的最大不確定度(單位:m2)為(7)
.jpg)
請注意,這是測量表面積的絕對不確定度,而非樣品比表面積的不確定度。分析儀先測定樣品管中待測樣品的總表面積(單位為m2),然後將結果除以輸入的樣品質量,即可得到比表面積(單位為m2/g)。
現在來回答最初的問題:「進行表面積分析需要多少樣品?」對於使用氮氣在 77K 下,於 1/2 '' OD樣品管中進行分析的情況,在相對壓力為 0.30 時,單點表面積的最大不確定度為 0.381 m²(如公式 (7) 所示)。為了確定所需的樣品量,首先需要確定可接受的最大表面積不確定度百分比。如果希望表面積的不確定度不超過 5%,則樣品管中的最小表面積需要是該表面積不確定度的 20 倍,即 7.62 m²。這是被分析樣品的總表面積,而不是樣品的比表面積。如果預期比表面積約為 10 m²/g,則需要分析的樣品量為 0.762 g 或更多,以確保因測量空白誤差而導致的表面積測量不確定度小於 2%。以上分析適用於使用填充棒、等溫夾套、杜瓦瓶蓋和屏蔽罩的 1/2 英吋外徑樣品管。以氮氣為吸附劑,在 77 K 的分析溫度下,測量了自由空間。這些計算是基於單點表面積計算,但由於對於給定的材料和分析方法,單點和多點表面積的量級相近,因此 BET 多點計算的預期不確定性基本上相同。
對於 ASAP 多埠分析儀 ASAP 2420 和 ASAP 2460 以及 ASAP 高壓分析儀 ASAP 2050,針對不同尺寸的樣品管和自由空間測定,在 77K 氮氣和 87K 氬氣分析中,給出了吸附體積最大預期不確定度的類似方程式。這些方程式針對等溫線上的每個相對壓力 P/Po 給出:
對於空的 1/2 '' 外徑樣品管,在 77 K 的氮氣或 87 K 的氬氣氣氛下進行分析,並安裝填充棒、等溫夾套、杜瓦瓶蓋和杜瓦瓶屏蔽罩,且在分析過程中測量自由空間,則等溫線上每個分析點的吸附氣體體積(單位:cm³ (STP))與零的偏差不應超過公式 (8) 給出的 Vε。。

對於空的 1/2'' OD 樣品管,在 77K 的氮氣或 87K 的氬氣氣氛下進行分析,並安裝填充棒、等溫夾套、杜瓦瓶蓋和杜瓦瓶屏蔽罩,且根據樣品質量和密度計算自由空間,結合先前測量的空樣品管自由空間,等溫線上每個分析點的氣體吸附量(單位:cm³ (STP))與零的偏差不應超過公式 (9) 給出的 Vε。
.jpg)
對於空的 3/8”OD 樣品管,在 77K 氮氣或 87K 氬氣氣氛下進行分析,並安裝填充棒、等溫夾套、杜瓦瓶蓋和杜瓦瓶屏蔽罩,且在分析過程中測量自由空間,則等溫線上每個分析點的吸附氣體體積(單位:cm³ (STP))與零的偏差不應超過公式 (10) 給出的 Vε。
.jpg)
對於空的 3/8”OD 樣品管,在 77K 氮氣或 87K 氬氣氣氛下進行分析,並安裝填充棒、等溫夾套、杜瓦瓶蓋和杜瓦瓶屏蔽罩,且自由空間根據樣品質量和密度計算得出,結合先前測量的空樣品管自由空間,等溫線上每個分析點的氣體吸附量(單位:cm³ (STP))與零的偏差不應超過公式 (11) 給出的 Vε。
.jpg)
對於空的 1/4'' OD樣品管,在 77 K 的氮氣或 87 K 的氬氣氣氛下進行分析,並安裝填充棒、等溫夾套、杜瓦瓶蓋和杜瓦瓶屏蔽罩,且在分析過程中測量自由空間,等溫線上每個分析點的吸附氣體體積(單位:cm³ (STP))與零的偏差不應超過公式 (12) 給出的 Vε。
.jpg)
對於空的 1/4'' OD樣品管,在 77 K 的氮氣或 87 K 的氬氣下進行分析,並安裝填充棒、等溫夾套、杜瓦瓶蓋和杜瓦瓶屏蔽罩,根據樣品質量和密度算自由空間,並結合先前測量的空樣品管的自由空間,等溫線上每個分析點的吸附氣體體積(單位:cm³ (STP))與零的偏差不應超過公式 (13) 給出的 Vε。
.jpg)
對於這些分析儀,氪分析的最大預期不確定度與公式(3)中給出的 ASAP 單分析埠標準壓力分析儀相同。
.jpg)
對於 3Flex 3500 分析儀,等溫線上每個相對壓力 P/Po 對應的空白管分析結果如下:
對於外徑為 12 mm 的空樣品管,分別使用 77 K 的氮氣或 87 K 的氬氣進行分析,並安裝填充棒、等溫夾套、杜瓦瓶蓋和杜瓦瓶屏蔽罩,且在分析過程中測量自由空間,等溫線上每個分析點的氣體吸附量(單位:cm³ (STP))公式與零下每個分析點的氣體吸附量 (14)。
.jpg)
對於空的 9 mm OD樣品管,在 77K 的氮氣或 87K 的氬氣中進行分析,安裝填充棒、等溫夾套、杜瓦瓶蓋和杜瓦瓶屏蔽罩,並在分析過程中測量自由空間,等溫線上每個分析點的吸附氣體體積(以 cm3 (STP) 為單位)與零點的偏差不應體積 (15) 所示。
.jpg)
對於外徑為 12 mm 的空樣品管,分別以 77 K 的氮氣或 87 K 的氬氣進行分析,並安裝填充棒、等溫夾套、杜瓦瓶蓋和杜瓦瓶屏蔽罩。根據樣品質量和密度計算自由空間,並結合先前測量的空樣品管的自由空間,等溫線上每個分析點的氣體吸附量(單位:cm³ (STP))與零的偏差不應超過公式 (16) 給出的 Vε。
.jpg)
對於外徑為 9 mm 的空樣品管,分別以 77 K 的氮氣或 87 K 的氬氣進行分析,並安裝填充棒、等溫夾套、杜瓦瓶蓋和杜瓦瓶屏蔽罩,根據樣品質量和密度計算自由空間,並結合先前測量的空樣品管的自由空間,等溫線上每個分析點的氣體吸附量(單位:cm³ (STP))與零的偏差不應超過公式 (17) 給出的 Vε。
.jpg)
請注意,對於 3Flex 3500 分析儀,採用測量自由空間值和計算自由空間值進行分析時,規格相同。同樣,這些分析儀氪分析的最大預期不確定度與公式 (3) 中給出的 ASAP 分析儀相同。
.jpg)
使用 TriStar 分析儀(TriStar II 3020 和 TriStar II Plus 3030)進行的分析,77K 氮氣的使用頻率遠高於 87K 氬氣。因此,這些分析儀的最大預期吸附體積不確定度規格是針對 77K 氮氣給出的:
對於空的1/2'' OD樣品管,在77K氮氣下進行分析,並已安裝填充棒、等溫夾套和杜瓦瓶蓋,且分析室門已關閉,並在分析過程中測量了自由空間,則等溫線上每個分析點的吸附氣體體積(單位:cm³ (STP))與零的偏差不應 (18) 由公式給出。

對於空的 1/2'' OD 樣品管,在 77K 下用氮氣進行分析,安裝填充棒,安裝等溫夾套,安裝杜瓦瓶蓋,並根據樣品質量和密度以及先前測量的空樣品管的自由空間計算自由空間,等溫線上每個分析點的吸附氣體體積(以 cm3 (STP) 所示)

對於空的 3/8”OD 樣品管,在 77K 下用氮氣進行分析,安裝填充棒,安裝等溫夾套,安裝杜瓦瓶蓋,關閉分析室門,並在分析過程中測量自由空間,等溫線上每個分析點的吸附氣體體積(以 cm3 (STP) 為單位)與零的偏差不應超過 Vε,如 (20) 所示。

對於空的 3/8”OD 樣品管,在77K下用氮氣進行分析,並已安裝填充棒、等溫夾套、杜瓦瓶蓋,且分析室門已關閉,自由空間根據樣品質量和密度計算得出,
以及先前測量的空樣品管的自由空間,等溫線上每個分析點的氣體吸附量(單位為 cm³ (STP))與零的偏差不應超過 Vε,Vε 由公式 (21) 給出。

對於空的 1/2'' OD 樣品管,在 77K下用氮氣進行分析,安裝了填充棒、等溫夾套、杜瓦瓶蓋,並在分析過程中測量自由空間,等溫線上每個分析點的吸附氣體體積(以 cm3 (STP) 為單位)與零的偏差不應超過 Vε,如 (22) 所示。

對於空的 1/4 '' OD樣品管,在 77 K下用氮氣進行分析,並已安裝填充棒、等溫夾套、杜瓦瓶蓋,自由空間根據樣品質量和密度計算得出,以及先前測量的空樣品管的自由空間,等溫線上每個分析點的氣體吸附量(單位為 cm³ (STP))與零的偏差不應超過 Vε,Vε 由公式 (23) 給出。

TriStar 分析儀的氪分析的最大預期不確定度與公式 (3) 中給出的 ASAP 單一分析埠研究分析儀相同。

最後,Gemini VII 2390a、Gemini VII 2390p 和 Gemini VII 2390t 分析儀的最大預期吸附體積不確定度規格如下:
對於空的 3/8 '' OD樣品管,在77 K下用氮氣進行分析,杜瓦瓶蓋已安裝,分析過程中測量了微分自由空間,且此自由空間已用適量的玻璃珠平衡,則等溫線上每個分析點的吸附氣體體積(單位為 cm³ (STP))與零的偏差不應超過 Vε,Vε 由公式 (24) 給出。

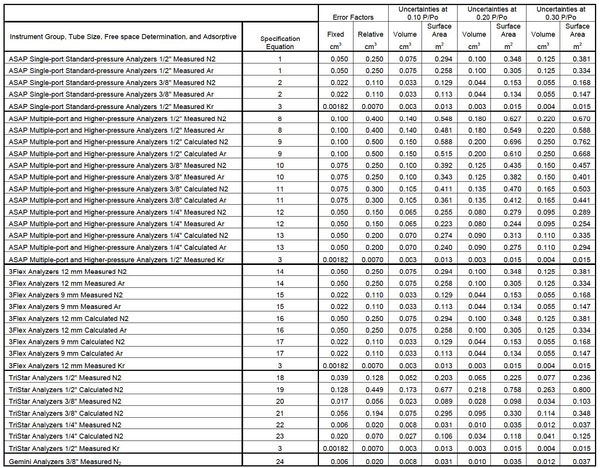
由於大多數使用 Gemini 分析儀進行的分析都是在 77 K 下使用氮氣進行的,因此 Gemini 分析儀沒有針對氪氣空樣品管分析的具體規範。利用公式 (4) 至 (7) 以及相應的空樣品管規範公式 (1) 至 (3) 和 (8) 至 (24),表 1 總結了各儀器分析儀組在測量吸附體積(單位為 cm³ (STP))和測定表面積(單位為 m²)方面的最大預期不確定度。上述公式中的第一個係數稱為固定誤差因子,第二個係數稱為相對誤差因子。例如,使用 3Flex 分析儀在 9 mm 樣品管中進行的分析,測量自由空間,並以氮氣作為吸附劑,在相對壓力為 0.30 時,最大預期吸附氣體體積為 0.055 cm³ (STP)。在相同條件下,測定單點表面積的相應最大不確定度為 0.168 m²。
總結
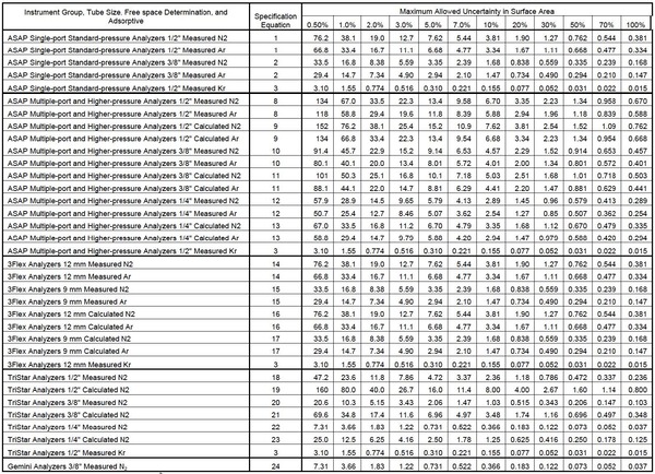
根據這些數據,表 2 給出了在相對壓力為 0.30 時,為確保單點表面積測定結果的最大相對不確定度,樣品管中所需的最小表面積。請記住,重要的是待測的總表面積,而不是樣品的比表面積。所需的樣品質量應為達到這些待測總表面積所需的量。以最近的這個例子為例,如果最大表面積不確定度為 0.168 m²,且希望獲得因分析空白誤差導致的不確定度不超過 2% 的表面積,則需要足夠的樣品,使樣品管中的總表面積達到 8.38 m²。
表 3 給出了另一種分析方法。表中列出了不同待測總表面積下測定表面積的百分比不確定度。對於上述 3Flex 分析範例,如果分析的總表面積為 10m2,則由於吸附量空白誤差導致的單點表面積最大百分比不確定度為 1.7%。
請記住,儘管這些範例使用的是單點表面積,但由於多點BET表面積和單點表面積的數值大小相近,因此使用多點BET表面積也能得到類似的結果。單點方程式的簡潔性使得表面積的不確定度更容易根據吸附體積的不確定度進行計算,這也是使用單點方程式的原因。因此,要回答「表面積分析需要多少樣品?」這個問題,可以使用這些表格之一來確定需要測試的總表面積,並根據待分析樣品的近似比表面積來確定樣品的質量。同樣,可以透過將測試的總表面積與這些表格中的值進行比較來確定已完成測試的可靠性。如果樣品的比表面積未知,則先測量一次,確定測試的潛在不確定度,然後根據需要使用更多樣品進行重新測試。
另請注意,大多數儀器的性能都優於此處給出的數值。為了確定特定儀器的性能,請根據儀器控制計算機上安裝軟體時加載的範例文件中的參數,進行空樣品管分析。利用所需相對壓力值下的氣體吸附量,結合公式(6)和(7),確定該儀器的表面積不確定度。

表 1. 物理吸附儀器測量吸附體積和確定單點表面積的最大預期不確定度。

表 2. 在相對壓力為 0.30 時測定的單點表面積的最大不確定度百分比,樣品管中所需的最小表面積(m2)

相對壓力為0.30時單點表面積的最大預期百分比不確定度
資料來源:micromeritics
若您對此產品有興趣,歡迎蒞臨明技公司 - micromeritics產品網頁或www.micromeritics.com 參觀